Equinox

Analysing the volatility of financed emissions

Analysing the volatility of financed emissions

In this post we analyse the variability profile of reported financed emissions of financial institutions such as banks. Using a conceptual deed-dive into the calculation procedure we isolate the more fundamental factors that contribute to variability.

Reading Time: 9 min.

In this post we analyse the variability profile of reported financed emissions of financial institutions such as banks. The discussion will concern primarily loan portfolios but similar considerations apply to other capital instruments. Our context are the so-called Scope 3 - Category 15 emissions under the terminology of the GHG Protocol, namely the emissions of the companies being financed by the loan portfolio.

Portable Standardized Graph Formats for Input-Output Databases

Portable Standardized Graph Formats for Input-Output Databases

We discuss a simple, generic and portable format for disseminating Input-Output data. The format is inspired from the Graph representation of Input-Output matrices. It allows a flexible unified description which can be serialized into standard csv files and using a minimal sqlite database.

Reading Time: 10 min.

Accessing the wealth of statistical data in Input-Output databases

There are currently several important global initiatives that compile and make available statistical economic input-output data (IO). This is done typically on a multi-regional basis (covering many countries and regions, hence MRIO) reflecting the fact that international trade is (still) very much a reality. Environmentally extended input-output (EEIO) databases that are in turn based on economic activity IO data, are increasingly used to examine environmental footprints of economic activities and play an important role in the attribution and screening of regional and sectoral contributions to environmental stresses.

Using the Kraljic Matrix in Green Public Procurement

Using the Kraljic Matrix in Green Public Procurement

In this post we discuss on the possible uses of Kraljic Matrix concepts in the context of Green Public Procurement

Reading Time: 15 min.

Motivation

Sustainable Public Procurement involves significant complexity and implementation barriers as it involves diverse categories of products and services, each with their own specific sustainability and knowledge requirements. It also requires augmented organizational capacities to handle expanded information flows that provide more holistic views on market capabilities and supply chain interdependencies.

On the ex-ante evaluation of Green Public Procurement criteria

On the ex-ante evaluation of Green Public Procurement criteria

In this post we outline a scheme for the consistent, portfolio-wide quantification the effect of Green Public Procurement criteria on environmental impacts of procurement activities.

Reading Time: 11 min.

Motivation

GPP is defined as a process whereby public authorities seek to procure goods, services and works with a reduced environmental impact throughout their life-cycle when compared to goods, services and works with the same primary function that would otherwise be procured. Unpacking that definition helps pin down many important characteristics of the information gathering and processing that must take place to support this major sustainability transition process. A most striking high-level aspect is the vast scope of this process: With public procurement forming anywhere from 10% to 30% of an economy, there is vast variability in underlying economic activities, environmental impacts, market characteristics and procurement procedures. Nevertheless, the definition of GPP demands a certain degree of coherency across this vast domain, not least to ensure the cost and energy of public resources dedicated to GPP are effective in achieving their target.

The role of EEIO frameworks in Green Public Procurement monitoring

The role of EEIO frameworks in Green Public Procurement monitoring

In this post we provide a summary of the methodological approach and the opportunities and challenges when using Environmentally Extended Input-Output databases and models to assist with the implementation of Green Public Procurement Monitoring Processes.

Reading Time: 17 min.

Motivation

The public sector avails of significant purchasing power when contracting with the private sector for goods, works and services. This provides it with meaningful leverage across a good fraction of economic activity. Significant efforts are underway worldwide to utilize this leverage towards achieving sustainability goals. Yet implementing sustainable procurement at scale remains a task of enormous complexity that requires significant investment in different areas: in developing suitable policies, in establishing appropriate information flows and methodologies and, not least, in embedding these new practices and behaviors across swathes of economic activity.

In this blog post we provide a brief overview of how an important class of economic analysis tools termed EEIO, or environmentally extended input-output frameworks, can be utilized to support the implementation of key public procurement sustainability objectives. We sketch the nature of these tools, how they can be used to provide relevant information, and the pros and cons of such an approach.

Equinox 0.7 release focuses on scope 2 (electricity) emissions

Equinox 0.7 release focuses on scope 2 (electricity) emissions

New data models introduced in this release of Equinox cater to the requirement of integrating energy attribute certificate information into the portfolio database.

Reading Time: 3 min.

GHG Accounting offers a means of measuring the direct and indirect emissions to the Earth’s Biosphere of CO2 and its equivalent gases from industrial and other activities. GHG Accounting is a rapidly developing area that has come to receive increased focus in the context of accelerating Climate Change. Given that the generation of electricity and heat accounts for around a third of global GHG emissions electricity consumers have incentives to proactively reduce those emissions by reducing electricity demand, or by shifting energy supply by procuring alternative lower-carbon or renewable resources.

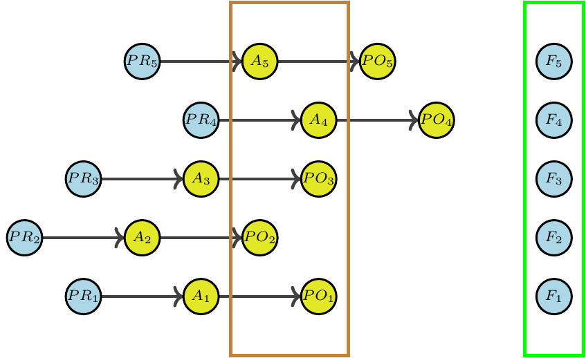
Mathematical Representations of Credit Portfolio Data

Mathematical Representations of Credit Portfolio Data

What do we mean by credit data? This post is a discussion around mathematical terminology and concepts that are useful in the context of working with credit data, taking us from network graph representations of credit systems to commonly used reference data sets

Reading Time: 1 min.

Course Objective

Digging into the meaning of credit data collections, the logic that binds them together towards understanding what they can be used for and what limitations and issues they may be affected by, this new course in the Credit Portfolio Management category explores a new angle to look at an old practice.

Mathematical Representations of Credit Portfolio Data

Mathematical Representations of Credit Portfolio Data

What do we mean by credit data? This post is a discussion around mathematical terminology and concepts that are useful in the context of working with credit data, taking us from network graph representations of credit systems to commonly used reference data sets

Reading Time: 1 min.

Course Objective

Digging into the meaning of credit data collections, the logic that binds them together towards understanding what they can be used for and what limitations and issues they may be affected by, this new course in the Credit Portfolio Management category explores a new angle to look at an old practice.

White Paper: Deep Linking Financial and Energy Accounting

White Paper: Deep Linking Financial and Energy Accounting

We develop a conceptual framework for integrated accounting that imposes on certain non-financial disclosures the same double-entry balance constraints that apply to conventional financial statements. We identify the key ingredients required for a rigorous multidimensional accounting framework in terms of concepts, postulates and design choices, and we illustrate these ideas with a worked-out example of linking financial and energy accounts.

Reading Time: 9 min.

Integrated Energy Accounting is keeping track and reporting on an entity’s detailed energy footprint (primary inputs, transformations and waste generation) not as an addendum to financial accounting and reporting but as a deeply-linked extension that is subject to the same level of rigor.

How Open Data and Open Source can support Green Public Procurement - Part 4

How Open Data and Open Source can support Green Public Procurement - Part 4

In the fourth part of this series we approach Green Public Procurement as a Sustainable Portfolio Management task and explore how open data can support this mission

Reading Time: 9 min.

Introduction

In this fourth and final installment we will discuss how the data framework we have developed thus far can be mapped into classic portfolio management concepts and categories, and thus, how one can articulate the concept of sustainable procurement management on a portfolio basis. The concepts and analytic methodologies of financial portfolio management1 can significantly enhance the toolkit available to practitioners and, in sense, connects the domain of Green Public Procurement to other ongoing initiatives in broader Sustainable Finance.

How Open Data and Open Source can support Green Public Procurement - Part 3

How Open Data and Open Source can support Green Public Procurement - Part 3

In the third part of this series we illustrate how one may assign greenhouse gas emissions to public procurement using environmentally extended input-output models

Reading Time: 10 min.

Introduction

This is the third in a series of posts where we explore the role of Open Data and Open Source in enabling and accelerating the broad based effort towards Green Public Procurement (GPP). In this third installment we will link procurement entities to private sector sellers and, through the sectoral profile of the procurement contract, (CPV category) we will infer the amount of CO2 emissions that can be attributed to these activities.

How Open Data and Open Source can support Green Public Procurement - Part 2

How Open Data and Open Source can support Green Public Procurement - Part 2

In the second part of this series we explore how to construct an economic network representation of the public procurement universe

Reading Time: 10 min.

Introduction

This is the second in a series of posts where we explore the role of Open Data and Open Source in enabling and accelerating the broad based effort towards Green Public Procurement (GPP).

How Open Data and Open Source can support Green Public Procurement - Part 1

How Open Data and Open Source can support Green Public Procurement - Part 1

In the first part of this series we survey the TED procurement data landscape to build the context in which we will explore the relevance of this open data set for green public procurement

Reading Time: 13 min.

Introduction

In a series of posts we will explore the role of Open Data and Open Source in enabling and accelerating the broad based effort towards Green Public Procurement (GPP). There are several important (and possibly obscure) terms in this sentence, so our first order of business will be to unpack them.

EU Datathon 2022 preselection for the Equinox platform

EU Datathon 2022 preselection for the Equinox platform

We are very happy to announce that our EU Datathon 2022 proposal based on the equinox platform has been pre-selected to enter the formal stage of the competition

Reading Time: 2 min.

What is the EU Datathon?

The EU Datathon is an annual Open Data competition organised by the Publications Office of the European Union since 2017. The competitions are organised to create new value for citizens through innovation and promoting the use of open data, in particular the datasets available on the official portal for European data.

Equinox 0.4 release focuses on green public procurement functionality

Equinox 0.4 release focuses on green public procurement functionality

On Earth Day 2022 we are happy to release a significant update of Equinox, the open source platform supporting sustainable portfolio management

Reading Time: 1 min.

Equinox 0.4 Release

Equinox is an open source platform that supports holistic risk management and reporting in the context of Sustainable Portfolio Management. The platform integrates geospatial information with applicable regulatory and industry standards, for example the GHG Protocol (accounting for Project based, Corporate and City-Wide greenhouse gas emissions), the IPCC Emissions Factor database and further reference data, the PCAF attribution methodologies (and more) to provide a holistic view of the footprint of both individual projects and portfolios.

Input-Output Models as Graph Networks

Input-Output Models as Graph Networks

We discuss the relation of economic input-output models with graph theory and networks

Reading Time: 1 min.

Course Objective

The objective of the course is to discuss the relation of economic input-output models with graph theory and networks.

Input-Output Models as Graph Networks

Input-Output Models as Graph Networks

We discuss the relation of economic input-output models with graph theory and networks

Reading Time: 1 min.

Course Objective

The objective of the course is to discuss the relation of economic input-output models with graph theory and networks.

Integrating the IPCC Emissions Factors Database Into Equinox

Integrating the IPCC Emissions Factors Database Into Equinox

In the latest update of the Equinox Project we discuss the integration of reference data an in particular greenhouse gas emissions factors as catalogued in the IPCC Emissions Factors database (EFDB).

Reading Time: 2 min.

Equinox is an open source platform that supports the holistic risk management and reporting of major sustainable finance projects (the financing of projects with material physical footprint) such as project finance.

Equinox aims to integrate in the database a number reference databases that facilitate tasks of sustainable portfolio management. In the current focus such reference material concerns the emissions factors for various processes and activities. In the latest (Solstice Day!) update of the Equinox Project we discuss the integration of reference data an in particular greenhouse gas emissions factors as catalogued in the IPCC Emissions Factors database (EFDB).

Open Risk White Paper: Sustainable Portfolio Management - Attribution and Allocation of Greenhouse Gas Emissions

Open Risk White Paper: Sustainable Portfolio Management - Attribution and Allocation of Greenhouse Gas Emissions

We develop an analytic framework that synthesizes current approaches to sustainable portfolio management in the context of addressing climate change. We discuss the different required information layers, approaches to emissions accounting, attribution and forward-looking limit frameworks implementing carbon budget constraints.

Reading Time: 3 min.

The frontpage graphic is adapted from Steffen et al. “Planetary Boundaries: Guiding human development on a changing planet”. Science (2015). The Planetary Boundaries concept was proposed in 2009 by this group of Earth system and environmental scientists. The group suggested that finding a “safe operating space for humanity” is a precondition for sustainable development. The framework is based on scientific evidence that human actions since the Industrial Revolution have become the main driver of global environmental change.

Sustainability Is Not a Point It Is a Surface of Possibilities

Sustainability Is Not a Point It Is a Surface of Possibilities

Sustainability is frequently depicted as an emissions curve to bend, or a temperature threshold not to exceed. A useful visual model is to see sustainability as a surface of possibilities. Achieving environmental objectives still allows widely differing choices that may not all be equally desirable.

Reading Time: 8 min.

Bending the Curve - Sustainability Conceptualized as a One Dimensional Exercise

The opening of the Global Scenario Group report “Bending the Curve: Toward Global Sustainability” by Paul Raskin, Gilberto Gallopin, Pablo Gutman, Al Hammond and Rob Swart, published in 1998 goes as follows: